
MULTIPLE SCLEROSIS (MS) (Guidelines)
Warning
Author is aware that the guidance on TAM is due for review and plans to review this on by Oct 2025. The guidance can continue to be used in this interim period. If you have any queries, please contact the guideline author/reviewer.

Fitness to Drive
- Refer to optometrist – visual acuity and fields and glasses
- Refer to DVLA medical standards www.dvla.gov.uk
- Refer to Driving Centre – assessment

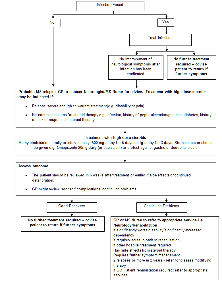
Patient with confirmed MS presents to GP with either
- An acute or sub-acute deterioration of pre-existing symptoms
- Onset of new neurological symptoms compatible with MS
GP to check
- Patient history
- Physical examination
- MSSU, FBC, CRP to exclude infection (pseudo relapse)
MS Nurse Contact Details
Northern NHS Highland - MS Nurses, 01463 705879
Argyll & Bute - MS Nurse, 0141 232 7757
To support the self management of patients go to LGOWIT
Brain and Spine Foundation information can be accessed here
Steroid treatment for patients with possible MS relapsepatient information
Chronic pain
Cognitive dysfunction - in development
Fatigue
Neuropathic bladder and bowel - in development
Neuropalliation - in development
Spasticity - in development